Focus: sterkere groei Nederlandse economie
Het bruto binnenlands product (bbp) is in het tweede kwartaal met 3,8 procent kwartaal-op-kwartaal toegenomen. Eerder ging het CBS nog uit van een economische groei van 3,1 procent. De consumptie nam als gevolg van de versoepeling van de beperkende maatregelen in verband met Covid-19 toe met 6,4 procent ten opzichte van het eerste kwartaal. Dat is 0,7 procentpunt meer dan eerder was voorzien. Ook de uitvoer van goederen en diensten nam wat sterker toe dan eerder was gedacht.
De overheidsfinanciën profiteerden in het tweede kwartaal van de economische meevaller. De uitgaven van de overheid kwamen, mede door teruglopende uitgaven aan steunmaatregelen, 1,1 miljard euro lager uit dan in dezelfde periode van 2020. De inkomsten stegen in het tweede kwartaal met 10,6 miljard. Met name de inkomsten uit de vennootschapsbelasting kwamen hoger uit, doordat bedrijven hun winsten over 2020 aanvankelijk te laag hadden ingeschat.
Marktontwikkelingen
De Federal Reserve kondigde donderdag aan, dat ze de effectenaankopen binnen afzienbare tijd zal gaan terugbrengen, indien het economisch herstel doorzet. Dit besluit kwam niet onverwacht, aangezien bankiers in de afgelopen tijd al uitspraken in deze richting hadden gedaan. Uit de economische prognoses blijkt dat de Amerikaanse centrale bank in 2022 de eerste renteverhoging denkt door te voeren. In de ramingen van juni ging de centrale bank er nog vanuit dat de rente pas in 2023 zou worden verhoogd. De lange rentetarieven liepen als gevolg van het Amerikaanse monetaire besluit licht op.
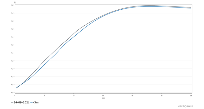
Standen per 24 september 2021
3 maanden |
10 jaar *) |
|
Verenigde Staten | 0,13 (0,12) | 1,47(1,35) |
Eurozone |
-0,54 (-0,54) |
0,14(0,03) |
Duitsland | -0,24 (-0,35) | |
Frankrijk | 0,11 (-0,01) | |
Nederland | -0,11(-0,22) | |
Eurokoers | USD 1,172 (1,184) |
*) rendementen op staatsleningen, eurozone tienjaars euro swap rate.
Economisch nieuws
VERENIGDE STATEN
- consumentenprijsindex, augustus: 0,3%, 5,3% j.o.j. (juli: 5,4% j.o.j.)
- industriële productie, augustus: 0,4%, 5,9% j.o.j. (juli: 6,6% j.o.j.)
- detailhandelsomzet (volume), augustus: 0,4%, 9,4% j.o.j. (juli: -2,2%, 9,4% j.o.j., herzien van -1,6%, 10,0% j.o.j.)
EUROZONE
- loonkosten, tweede kwartaal: -0,1% j.o.j. (eerste kwartaal: 1,3% j.o.j.)
- industriële productie, juli: 1,5%, 7,7% j.o.j. (juni: 10,1% j.o.j.)
- consumentenvertrouwen, september: -4,0 (augustus: -5,3)
- inkoopmanagersindex, september: 56,1 (augustus: 59,0), industrie 58,7 (61,4), dienstensector 56,3 (59,0)
DUITSLAND
- ondernemersvertrouwen, september: 98,8 (augustus; 99,6)
FRANKRIJK
- ondernemersvertrouwen, september: 111,5 (augustus: 110,3)
NEDERLAND
- werkloosheid, augustus: +12.000, 3,2% (juli: 3,1%)
- werkgelegenheid, augustus: +13.000, 2,3% j.o.j. (juli: 2,2% j.o.j.)
- consumentenvertrouwen, september: -5 (augustus: -6)
- consumptie, juli: 4,8% j.o.j. (juni: 6,7% j.o.j.)
- bruto binnenlands product, tweede kwartaal; 3,8%, 10,4% j.o.j. (herzien van 3,1%, 9,7% j.o.j.)
- overheidssaldo, tweede kwartaal: -34,5 miljard, -4,2% bbp (eerste kwartaal: -5,8% bbp)
- bruto overheidsschuld, tweede kwartaal: 447,1 miljard, 54,2% bbp (eerste kwartaal: 54,9% bbp).
Agenda
- Verenigde Staten: -.
- Eurozone: index economisch sentiment, september(29/9), werkloosheid, augustus(30/9), consumentenprijsindex, september(1/10).
- Nederland: producentenvertrouwen, september(28/9), consumentenprijsindex, september(7/10).
Verwachtingen
De economische vooruitzichten worden bepaald door de ontwikkeling van de pandemie. Indien de vaccinatie van de bevolking volgens de verwachtingen verloopt, dan zal het openbare leven na de zomer grotendeels zijn genormaliseerd. De economie zal zich daardoor in de westerse landen kunnen herstellen. De onzekerheden blijven evenwel groot. Zo is het de vraag hoe lang de vaccins bescherming bieden en of de vaccins ook effectief zullen zijn tegen nieuwe varianten van het virus. Bovendien zal het virus dit jaar in andere delen van de wereld waarschijnlijk nog niet onder controle komen.
De Amerikaanse economie zal in 2021 naar verwachting met 7,0 procent groeien. In 2022 neemt de economische groei af naar 4,8 procent. Mede onder invloed van stimulerende maatregelen van de overheid en een aanhoudend ruim monetair beleid zullen de consumptie en de investeringen in de private sector aantrekken. De inflatie loopt mede als gevolg van hogere energieprijzen op van 1,3 procent in 2020 naar 3,5 procent in 2021.
In de eurozone groeit de economie in 2021 naar verwachting met 4,7 procent. In 2022 neemt het bbp met ongeveer 4,3 procent toe. Het economisch herstel is te danken aan het ruime monetaire beleid en de steunpakketten van de overheden. De eurolanden die in 2020 het meest zijn getroffen door de pandemie zullen dit jaar de sterkste economische groei doormaken. Het economisch herstel is breed gedragen: zowel de consumptie, de investeringen als de uitvoer zal naar verwachting toenemen. De inflatie loopt mede door hogere energieprijzen in de eurozone op van 0,3 procent in 2020 naar 2,0 procent in 2021. In 2022 wordt een daling van de inflatie naar 1,4 procent voorzien.
Voor de Nederlandse economie wordt eveneens een krachtig herstel voorzien. Dit jaar zal het bbp met 4,0 procent toenemen. In 2022 zal de economische groei uitkomen op ca. 3,5 procent. De inflatie blijft in beide jaren gematigd.
Economische groei | 2020 | 2021 | 2022 |
Verenigde Staten | -3,4 | 7,0 | 4,8 |
Eurozone |
-6,4 |
4,7 |
4,3 |
Nederland | -3,8 | 4,0 | 3,5 |
Inflatie | 2020 | 2021 | 2022 |
Verenigde Staten | 1,3 | 3,5 | 2,2 |
Eurozone | 0,3 | 2,0 | 1,4 |
Nederland | 1,1 | 1,7 | 1,6 |
Rentevisie
De ECB blijft vooralsnog een ruim monetair beleid voeren. De leningen in het kader van de derde targeted longer-term refinancing operations (TLTRO III) aan banken lopen door tot juni 2022. Voorts blijft de centrale bank tot maart 2022 effecten aankopen onder het pandemic emergency purchase programme (PEPP). De recente toename van de inflatie is volgens de ECB van tijdelijke aard. Mede gelet op de onzekerheid over het verloop van de pandemie zal de centrale bank waarschijnlijk ook na maart volgend jaar effecten blijven aankopen.
Actueel |
Over een jaar |
|
prognose | ||
euribor 3 mnd. |
-0,54 |
-0,5 tot -0,3 |
euroswap 5 jaar | -0,29 | -0,4 tot -0,2 |
euroswap 10 jaar | 0,03 | 0,0 tot 0,2 |
euroswap 30 jaar | 0,37 | 0,4 tot 0,6 |
Yieldcurve


Economisch Beeld verscheen van 2003 tot en met 2023
Om de week bieden wij u een actueel beeld van de ontwikkelingen op de financiële markten, de economische groei, inflatie, werkloosheid en rente in de voornaamste landen en regio’s.
Economisch Beeld verscheen van 2003 tot en met 2023