Focus: Investeringsplan VS aangenomen
Het gaat op een meerjarenplan van investeringen in infrastructuur met een omvang van 1.200 miljard dollar. Het plan omvat investeringen in het wegennet, treinsporen en bruggen. Daarnaast worden grote bedragen uitgetrokken voor investeringen in breedbandinternet en projecten ter bevordering van hernieuwbare energie. De investeringen zullen de economische groei stimuleren. De Senaat had al eerder ingestemd met het plan. President Biden lost hiermee een belangrijke campagnebelofte in. De regering kampt met een dalende populariteit onder de kiezers en hoopt met dit plan het tij te keren. Ondanks het economisch herstel is de werkgelegenheid nog niet terug op het niveau van voor de coronacrisis.

Marktontwikkelingen
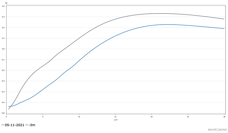
De rentetarieven op de voornaamste kapitaalmarkten daalden in de afgelopen periode aanzienlijk. Beleggers reageerden positief op het -overigens verwachte- besluit van de Federal Reserve om de effectenaankopen te gaan terugbrengen. In november zal de centrale bank 15 miljard dollar minder aankopen, waarvan 10 miljard staatsleningen en 5 miljard agency mortgage-backed securities. In december zal de Amerikaanse centrale bank de effectenaankopen met dezelfde bedragen terugbrengen. Daarna worden verdere reducties verwacht, maar deze zijn afhankelijk van de economische ontwikkeling. De ECB neemt in december een beslissing over voortzetting van de effectenaankopen.Standen per 5 november 2021
3 maanden |
10 jaar *) |
|
Verenigde Staten | 0,14 (0,12) | 1,45(1,66) |
Eurozone |
-0,57 (-0,55) |
0,10(0,28) |
Duitsland | -0,24 (-0,08) | |
Frankrijk | 0,07 (0,24) | |
Nederland | -0,15(0,03) | |
Eurokoers | USD 1,152 (1,163) |
*) rendementen op staatsleningen, eurozone tienjaars euroswaprate.
Economisch nieuws
VERENIGDE STATEN
- bruto binnenlands product, derde kwartaal: 0,5%, 4,9% j.o.j. (tweede kwartaal: 12,2% j.o.j.)
- consumentenvertrouwen, oktober: 113,8 (september: 109,8)
- consumptie, september: 0,3%, 6,2% j.o.j. (augustus: 7,4% j.o.j.)
- werkgelegenheid, oktober: +531.000, 4,1% j.o.j. (september: 4,2% j.o.j.)
- werkloosheid, oktober: 4,5% (september: 4,8%)
- uurlonen, oktober: 0,4%, 4,9% j.o.j. (september: 4,6% j.o.j.)
- inkoopmanagersindex industrie, oktober: 60,8 (september: 61,1)
- inkoopmanagersindex dienstensector, oktober: 66,7 (september: 61,9)
EUROZONE
- bruto binnenlands product, derde kwartaal: 2,2%, 3,7% j.o.j. (tweede kwartaal: 14,2% j.o.j.)
- index economisch sentiment, oktober: 118,6 (september: 117,8)
- detailhandelsomzet(volume), september: -0,3%, 2,2% j.o.j. (augustus: 1,1% j.o.j.)
- geldhoeveelheid(M3), september: 7,6% j.o.j. (augustus: 7,9% j.o.j.)
- werkloosheid, september: -255.000, 7,4% (augustus: 7,5%)
- producentenprijsindex, september: 2,7%, 16,0% j.o.j. (augustus: 13,4% j.o.j.)
- consumentenprijsindex, oktober: 0,8%, excl. voedsel en energie 0,3%, 4,1% j.o.j. (september: 3,4% j.o.j.)
DUITSLAND
- bruto binnenlands product, derde kwartaal: 1,8%, 2,5% j.o.j. (tweede kwartaal: 10,3% j.o.j.)
- ondernemersvertrouwen, oktober: 97,7 (september: 98,9)
- detailhandelsomzet(volume), september: -2,5%, -0,9% j.o.j. (augustus: 0,8% j.o.j.)
- industriële productie, september: -1,4%, -1,1% j.o.j. (augustus: 2,7% j.o.j.)
FRANKRIJK
- bruto binnenlands product, derde kwartaal: 3,0%, 3,3% j.o.j. (tweede kwartaal: 18,8% j.o.j.)
- consumptie, september: -0,2%, -2,3% j.o.j. (augustus: -5,4% j.o.j.)
- industriële productie, september: -1,3%, 0,8% j.o.j. (augustus: 3,9% j.o.j.)
NEDERLAND
- producentenvertrouwen, oktober: +12,3 (september: +11,1)
- producentenprijsindex, september: 1,0%, 16,4% j.o.j. (augustus: 14,6% j.o.j.)
- detailhandelsomzet(volume), september: -1,8%, 2,6% j.o.j. (augustus: 2,2% j.o.j.)
- consumentenprijsindex, oktober: 1,6%, 3,7% j.o.j. (september: 3,0% j.o.j.)
Agenda
- Verenigde Staten: consumentenprijsindex, oktober(10/11),
- Eurozone: .
- Nederland: bruto binnenlands product, derde kwartaal(16/11), werkloosheid, oktober(18/11).
De economische vooruitzichten worden bepaald door de ontwikkeling van de pandemie. Indien de vaccinatie van de bevolking volgens de verwachtingen verloopt, dan zal het openbare leven na de zomer grotendeels zijn genormaliseerd. De economie zal zich daardoor in de westerse landen kunnen herstellen. De onzekerheden blijven evenwel groot. Zo is het de vraag hoe lang de vaccins bescherming bieden en of de vaccins ook effectief zullen zijn tegen nieuwe varianten van het virus. Bovendien zal het virus dit jaar in andere delen van de wereld waarschijnlijk nog niet onder controle komen.
De Amerikaanse economie zal in 2021 naar verwachting met 7,0 procent groeien. In 2022 neemt de economische groei af naar 4,8 procent. Mede onder invloed van stimulerende maatregelen van de overheid en een aanhoudend ruim monetair beleid zullen de consumptie en de investeringen in de private sector aantrekken. De inflatie loopt mede als gevolg van hogere energieprijzen op van 1,3 procent in 2020 naar 3,6 procent in 2021. In 2022 neemt de inflatie af naar 3,0 procent.
In de eurozone groeit de economie in 2021 naar verwachting met 4,6 procent. In 2022 neemt het bbp met ongeveer 4,5 procent toe. Het economisch herstel is te danken aan het ruime monetaire beleid en de steunpakketten van de overheden. De eurolanden die in 2020 het meest zijn getroffen door de pandemie zullen dit jaar de sterkste economische groei doormaken. Het economisch herstel is breed gedragen: zowel de consumptie, de investeringen als de uitvoer zal naar verwachting toenemen. De inflatie loopt mede door hogere energieprijzen in de eurozone op van 0,3 procent in 2020 naar 2,4 procent in 2021. In 2022 wordt een licht daling van de inflatie naar 2,0 procent voorzien.
Voor de Nederlandse economie wordt eveneens een krachtig herstel voorzien. Dit jaar zal het bbp met 4,0 procent toenemen. In 2022 zal de economische groei uitkomen op ca. 3,5 procent. De inflatie loopt sterk op, nl. van 1,1 procent in 2020 naar 2,3 procent dit jaar. In 2022 komt de geldontwaarding uit op 2,1 procent.
Economische groei | 2020 | 2021 | 2022 |
Verenigde Staten | -3,4 | 7,0 | 4,8 |
Eurozone |
-6,4 |
4,6 |
4,5 |
Nederland | -3,8 | 4,0 | 3,5 |
Inflatie | 2020 | 2021 | 2022 |
Verenigde Staten | 1,3 | 3,6 | 3,0 |
Eurozone | 0,3 | 2,4 | 2,0 |
Nederland | 1,1 | 2,3 | 2,1 |
Rentevisie
De ECB blijft vooralsnog een ruim monetair beleid voeren. De leningen in het kader van de derde targeted longer-term refinancing operations (TLTRO III) aan banken lopen door tot juni 2022. Voorts blijft de centrale bank tot maart 2022 effecten aankopen onder het pandemic emergency purchase programme (PEPP). De recente toename van de inflatie is volgens de ECB van tijdelijke aard. Mede gelet op de onzekerheid over het verloop van de pandemie zal de centrale bank waarschijnlijk ook na maart volgend jaar effecten blijven aankopen.
Actueel |
Over een jaar |
|
prognose | ||
euribor 3 mnd. |
-0,57 |
-0,5 tot -0,3 |
euroswap 5 jaar | -0,16 | -0,4 tot -0,2 |
euroswap 10 jaar | 0,10 | 0,0 tot 0,2 |
euroswap 30 jaar | 0,28 | 0,4 tot 0,6 |
Yieldcurve


Om de week bieden wij u een actueel beeld van de ontwikkelingen op de financiële markten, de economische groei, inflatie, werkloosheid en rente in de voornaamste landen en regio’s.
Economisch Beeld verscheen van 2003 tot en met 2023