Rente opnieuw omhoog
De renteverhoging komt niet als een verrassing voor marktpartijen en analisten. De inflatie is in de afgelopen maanden weliswaar verder gedaald, maar blijft te hoog. In augustus stegen de consumentenprijzen met 5,3 procent jaar-op-jaar. In juli stegen de prijzen ook met 5,3 procent. De ECB verwacht dat de bestedingen als gevolg van de renteverhogingen worden getemperd, waardoor de economie langzamer zal groeien. De centrale bank rekent voor 2024 op een groei van 1,0 procent. Dit jaar wordt uitgegaan van 0,7 procent. De ECB verwacht dat de tot nu toe doorgevoerde monetaire verkrapping zal leiden tot een substantiële daling van de inflatie in de richting van de doelstelling van 2 procent. Hiermee maakt de centrale bank duidelijk dat de rente mogelijk niet meer verder zal worden verhoogd. De afname van de loonkostenstijging in het tweede kwartaal is in dit verband een gunstig teken. De ECB besloot daarnaast dat ze vasthoudt aan het beleid om aflossingen op de effectenaankopen onder het APPP-programma en PEPP-programma te blijven herbeleggen tot tenminste het einde van 2024.
Persbericht ECBMarktontwikkelingen
De financiële markten reageerden rustig op de monetaire beleidsbeslissingen van de ECB. Aankomende woensdag neemt de Federal Reserve een besluit over de rentetarieven. Het lijkt erop dat de Amerikaanse centrale bank een pas op de plaats zal maken. De lange rentetarieven liepen tegen deze achtergrond zowel in de Verenigde Staten als in de eurolanden licht op.
Standen per 15 september 2023
3 maanden |
10 jaar *) |
|
Verenigde Staten | 5,67 (5,66) | 4,32 (4,18) |
Eurozone | 3,87 (3,77) | 3,19 (3,13) |
Duitsland | 2,66 (2,54) | |
Frankrijk | 3,19 (3,06) | |
Nederland | 3,01 (2,87) | |
Eurokoers |
USD 1,067(1,084) |
*) rendementen op staatsleningen, eurozone tienjaars euroswaprate.
Economisch nieuws
VERENIGDE STATEN
- inkoopmanagersindex dienstensector, augustus: 54,5 (juli: 52,7)
- detailhandelsomzet(volume), augustus: -0,1%, -1,2% j.o.j. (juli: -0,6% j.o.j.)
- industriële productie, augustus: 0,4%, 0,2% j.o.j. (juli: 0,0% j.o.j.)
- consumptieprijsindex, augustus: 0,6%, 3,7% j.o.j. (juli: 3,3% j.o.j,); excl. voedsel en energie 0,3%, 4,4% j.o.j. (juli: 4,7% j.o.j.)
- producentenprijsindex, augustus: 2,0%, 0,4% j.o.j. (juli: -2,4% j.o.j.)
EUROZONE
- detailhandelsomzet(volume), juli: 0,0%, -0,5% j.o.j. (juni: -0,7% j.o.j.)
- industriële productie, juli: -1,1%, -2,0% j.o.j. (juni: -1,6% j.o.j.)
- werkgelegenheid, tweede kwartaal: 0,2%, 1,3% j.o.j. (eerste kwartaal: 1,6% j.o.j.)
- producentenprijsindex, juli: -0,5%, -7,6% j.o.j. (juni: -3,4% j.o.j.)
- loonkosten, tweede kwartaal: 0,9%, 4,5% j.o.j. (eerste kwartaal: 5,5% j.o.j.)
DUITSLAND
- industriële productie, juli: -1,6%, -2,5% j.o.j. (juni: -1,2% j.o.j.)
FRANKRIJK
- industriële productie, juli: 0,8%, 2,5% j.o.j. (juni: 2,7% j.o.j.)
NEDERLAND
- consumptie, juli: -4,4%, 0,4% j.o.j. (juni: 1,2% j.o.j.)
- industriële productie, juli: 0,5%, -6,2% j.o.j. (juni: -6,5% j.o.j.)
Agenda
- Verenigde Staten: bijeenkomst Fed (20/9).
- Eurozone: inkoopmanagerssurvey, september(22/9), index economisch sentiment, september (28/9), consumentenprijsindex, september (29/9).
- Nederland: werkloosheid, augustus(21/9), consumentenvertrouwen, september (21/9), overheidsfinanciën, tweede kwartaal (22/9), producentenvertrouwen, september (28/9), consumentenprijsindex, september (29/9).
De economische vooruitzichten zijn wat verbeterd. De prijzen van olie en vooral gas zijn in de afgelopen maanden gedaald. Westerse overheden hebben bovendien maatregelen genomen om de gevolgen van de hoge energieprijzen voor burgers te verlichten. De Chinese economie groeit wat sterker, nadat de overheid de stringente coronamaatregelen heeft losgelaten. Het IMF verwacht voor dit jaar een groei van de wereldeconomie van 2,9 procent. In oktober 2022 ging het internationale instituut nog uit van een groei van 2,7 procent. In 2024 wordt een economische groei van 3,1 procent voorzien. De centrale banken zullen het monetaire beleid in de komende maanden nog wat verder verkrappen om de inflatie onder controle te krijgen.
De Amerikaanse economie groeit in 2023 naar verwachting met 1,6 procent. In 2022 was er nog sprake van een toename van de bedrijvigheid van 2,1 procent. De private consumptie neemt ondanks de gestegen prijzen toe. De investeringen nemen af onder invloed van de oplopende rentetarieven. De export van goederen en diensten groeit nog wel. De inflatie neemt naar verwachting af van 7,6 procent in 2022 naar 3,5 procent in 2023.
In de eurozone neemt het bbp in 2023 naar verwachting met 0,5 procent toe. Vorig jaar was er nog sprake van een economische groei van 3,5 procent. De private consumptie neemt in 2023 nauwelijks toe als gevolg van een daling van de reële besteedbare inkomens van huishoudens. De groei van de investeringen in vaste activa valt als gevolg van de opgelopen rentetarieven terug. De uitvoer van goederen en diensten neemt nog wel licht toe. De inflatie neemt af van 8,4 procent in 2022 naar 5,4 procent in 2023.
De Nederlandse economie groeit in 2023 met 0,6 procent. In 2022 nam het bbp nog toe met 4,5 procent. Evenals in andere eurolanden is de terugval van de groei vooral het gevolg van een afnemende groei van private consumptie. Ondanks overheidsmaatregelen ter compensatie van de gestegen energieprijzen zullen de reële beschikbare inkomens in 2023 dalen. De investeringen in vaste activa nemen naar verwachting niet toe. De uitvoer ontwikkelt zich nog positief. De inflatie loopt relatief sterk terug, namelijk van iets minder dan 12 procent in 2022 naar 4,6 procent in 2023.
Economische groei | 2021 | 2022 | 2023 | 2024 | |
Verenigde Staten | 5,9 | 2,1 | 1,6 | 1,2 | |
Eurozone | 5,3 | 3,5 | 0,5 | 1,0 | |
Nederland | 4,9 | 4,5 | 0,6 | 1,0 | |
Inflatie | 2021 | 2022 | 2023 | 2024 | |
Verenigde Staten | 3,9 | 7,6 | 3,5 | 3,2 | |
Eurozone | 2,6 | 8,4 | 5,4 | 3,0 | |
Nederland | 2,8 | 11,6 | 4,6 | 3,7 |
Rentevisie
De inflatie blijft zowel dit jaar als in 2024 duidelijk boven de doelstelling van de ECB. We verwachten dat het depositotarief over een jaar op 4,0 procent zal staan. De lange rentetarieven lopen naar verwachting nog wat op.
Actueel |
Over een jaar |
|
prognose | ||
depositotarief | 4,0(3,75) | 4,0 |
euribor 3 mnd. | 3,87 | 4,0 - 4,2 |
euroswap 5 jaar | 3,29 | 3,7 - 3,9 |
euroswap 10 jaar | 3,19 | 3,4 - 3,6 |
euroswap 30 jaar | 2,88 | 2,9 - 3,1 |
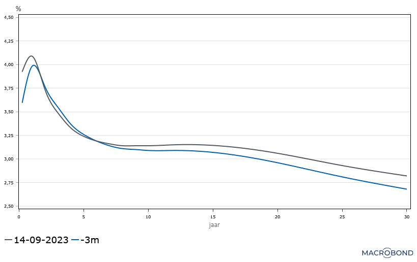
Yieldcurve


Om de week bieden wij u een actueel beeld van de ontwikkelingen op de financiële markten, de economische groei, inflatie, werkloosheid en rente in de voornaamste landen en regio’s.
Economisch Beeld verscheen van 2003 tot en met 2023